京都大学 大学院 知能情報学専攻 院試 過去問 解答 2009 ~ 2023 京大知能情報学専攻の院試過去問解答|京大 知能情報 院試 過去問 解答
(4129件)
Pontaパス特典
サンキュー配送
14488円(税込)
145ポイント(1%)
Pontaパス会員ならさらに+1%ポイント還元!
送料
(
)
4122
配送情報
お届け予定日:2026.05.01 3:15までにお届け
※一部地域・離島につきましては、表示のお届け予定日期間内にお届けできない場合があります。
ロットナンバー
71102106564
お買い物の前にチェック!
Pontaパス会員なら
ポイント+1%
ポイント+1%
商品説明




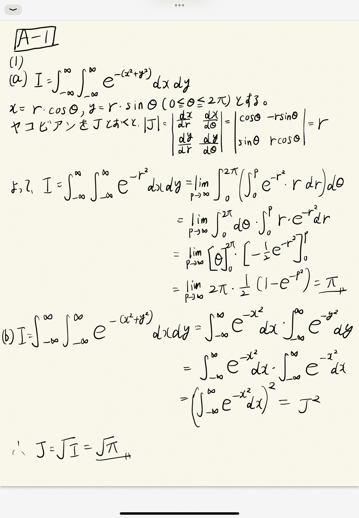
⚠️詐欺サイトの無断転載にご注意ください。メルカリ以外での出品は致しておりませんが、Texに書き起こしたものを順次noteにて公開していく予定です。Tex版をご希望の際は、ブラウザで京大 知能情報 院試 過去問 解答 noteと検索してください。京都大学大学院 情報学研究科 知能情報学専攻の院試の過去問15年分のiPadによる手書き解答と、内部情報です。解答は、微分積分、線形代数、アルゴリズム、統計学、信号処理、情報理論の分野を収録しています。現役の京大生である私が作成した自作解答です。 解答の一部は同期複数人で作成したものです。 解答作成には十分注意をしていますが、必ずしも満点の解答であるとは限りません。過去問自体は著作権法の観点から付属していませんが、代わりに該当過去問を入手するための情報を提供しています。また、院試に関しての情報と、私自身の勉強方法を記載したものも収録しています。内部生が用いている参考書等も記載しています。また、年度・分野ごとにバラで購入することもできます。その場合の値段は以下の通りになります。ご希望の場合はコメント等でご連絡ください。・1分野、1年度分 ・・・ 1,000円例) 2022年度実施、統計学のみ → 1,000円※分野は、「微分積分・線形代数」、「アルゴリズムとデータ構造」、「統計学」、「情報理論」、「信号処理」の5分野から選択いただけます。・全分野、1年度分 ・・・ 3,000円例) 2021年度実施分、全分野 → 3,000円セット割・1分野、直近5年分(2018〜2023) ・・・ 5,000円のところを、3,980円・1分野、全年度分 ・・・ 13,000円のところを、9,980円・全分野、直近5年分(2018〜2023)・・・ 15,000円のところを、10,980円・全分野、全年度分・・・ 39,000円のところを、24,980円商品の配送には、解答データの入ったUSBメモリを配送させて頂きます。⚠️私的利用を超える一切の無断複製を禁止します。転売や、ネット上への公開も禁止します。無断複製防止のため、全ページにお名前の透かしを入れさせて頂きます。#京大#京都大学#情報学研究科#知能情報#院試#入試#解答
| カテゴリー: | 本・雑誌・漫画>>>本>>>語学・辞書・学習参考書 |
|---|---|
| 商品の状態: | 新品、未使用","新品で購入し、一度も使用していない |
| 配送料の負担: | 送料込み(出品者負担) |
| 配送の方法: | 佐川急便/日本郵便 |
| 発送元の地域: | 京都府 |
| 発送までの日数: | 1~2日で発送 |
レビュー
商品の評価:




4.4点(4129件)
- なつお9923
- 手のひらサイズです 軽いので持ち運びに便利です。 おはよう いただきます 行ってきます こんにちは さようなら お休みなさい が学べます。
- 勝広さん
- 非常にかわいくてお勧めです。 まだ 1才と4ヶ月の息子には早いですが 楽しみに待ってます
- sho3135035
- 幼稚園の娘にプレゼントとして購入しました。 驚くばかりの飛び出す絵本に娘共々感激しました。 普通の絵本とはまた違った驚きと感動がありとてもよかったとおもいます。
- yasudu88
- 今回は、本当によい買い物ができました。次回もお願いしたいです。
- しげ☆キューン
- 2歳の子供に買ってあげました。一緒にやってあげないとできないページもありますが、”やりたい!やりたい!”と連呼してます。スイッチが入ったようです・・・。
- あえのみ
- 自分が登場する絵本にとてもびっくりしてよろこんでいました。特に住んでいる所が出てきたのには驚いていました。
- けんあゆパパ
- この内容でこの価格はちょっと高過ぎです。まあ、子供の本はこんなもんなんでしょうけど・・・。
- 柚ここ
- 疲れずに見る事ができます。お月さまの光り具合がとても好きです。
- takataka2018
- 絵が可愛くて見てて楽しいです。考えた人、すごいな〜と思います(笑)買ってよかったです!
- TACA SHOTGUN
- 赤ちゃんへのプレゼント★ 音もメロディーもしっかり出ているので満足しています。 楽曲も6曲あるので飽きがこないのもいいですね。 あとは、音の大きさの調整が出来れば完璧だと思いました。 大好きなジブリを赤ちゃんも気に入ってくれるといいな〜♪
- abicats
- 小学生の読み聞かせのために購入しました。人間は一人ひとりちょっと違うところがあります。それは例え不自由に見えても,まわりの人間が個性と受け止め,互いに助け合えばいいだけのことなのです。
- だいちん4649
- この本だけは他の本と比べて反応が違うので、購入しました。 表紙を見るだけで大興奮し、とても喜んでくれました‼ 発送も早くありがたかったです‼
- miki5003
- よみきかせシリーズは何冊か持っていますが、話の多さと絵が多い分、一話一話の内容はザックリといった感じがします。 幼稚園の年中〜年長さん位になると、物足りなさを感じると思います。
- でこ2010
- 内容は短いけど仕掛けがあるので毎晩楽しそうに見ています!
すべて見る
お店の情報
7,367
連絡・応対
4.3
配送スピード
4.3
梱包
4.3










